-
Điều tàu chở hàng nặng 300 tấn án ngữ trên cầu sông Thương để đối phó nước lũ
-
Hoa hậu Yến Nhi lao thẳng vào máy quay
-
Bé gái 6 tuổi và lời khai tố cáo kẻ xâm hại tình dục ở Hà Nội
-
Miền Bắc lại sắp mưa lớn, Hà Nội và các tỉnh lân cận khi nào hết ngập lụt?
-
Thái Nguyên: Truy tìm 3 "tách trà" thất lạc sau trận lũ lịch sử
-
Xuất hiện thêm ảnh rò rỉ về Hyundai Santa Fe bản mới
-
Nghẹn lòng những lời cuối với mẹ của nữ hiệu trưởng bị lũ cuốn tại Thái Nguyên: "Ở đó rét lắm!"
-
Khách Nhật thử món "ăn tươi nuốt sống" ở Việt Nam, từ lo lắng đến nức nở khen
-
Ông Y Thanh Hà Niê Kđăm làm Bí thư Tỉnh ủy Lâm Đồng
-
Kho dược ở ngoại thành Hà Nội bốc cháy sau tiếng nổ lớn
Giới trẻ
11/09/2018 20:43Lại thêm một bài toán giải mật khẩu wifi 'chùa' khiến sinh viên 'hại não'
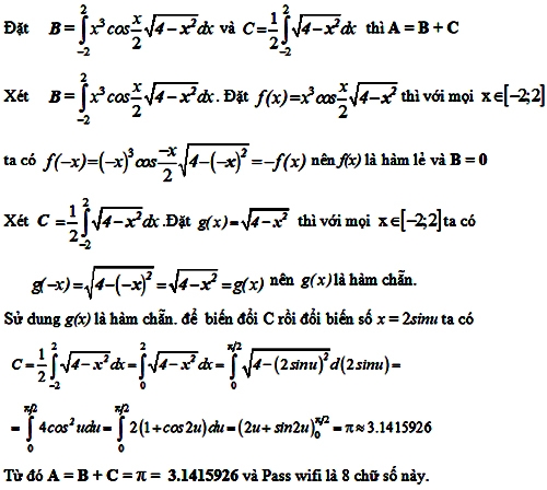
Mới đây, trên một diễn đàn mạng xã hội dành cho sinh viên xuất hiện bài viết nói về việc giải bài toán để có mật khẩu wifi. Theo chủ nhân bài viết, đây là bài toán xuất hiện tại căng tin Đại học Hàng không và Du hành vũ trụ Nam Kinh (ngôi trường hàng đầu ở Trung Quốc).

Trên tấm bảng có ghi: “Mật khẩu wifi là 8 chữ số đầu tiên của đáp án bài Toán dưới đây”. Tuy nhiên rất nhiều sinh viên đã bó tay và chịu tốn tiền dùng 3G sau khi thấy bài toán. Trong khi đó theo đánh giá, bài toán này là một bài toán đơn giản của Toán cao cấp.


Ngay sau khi đăng tải trên một diễn đàn sinh viên, đông đảo sinh viên theo học khối tự nhiên đã cùng nhau giải bài toán này. Tuy nhiên rất nhiều người đánh giá đây là một bài toán khó nhằn, không thể giải trong phút chốc.
“Có lẽ các bạn sinh viên trường này lần đầu đến nên chụp lại xong về nhà “ngâm cứu” dần dần. Nếu lười thì thôi dùng 3G cho nhanh“, tài khoản Đ.V.A viết.
“Đã ăn xin còn đòi xôi gấc, các bạn phải giải bài toán để có wifi free dùng. Mình thấy chuyện này bình thường sau các bạn cứ nói làm khó nhau vậy!”, tài khoản M.K viết.
“May các trường ở Việt Nam chưa có trường nào phải giải phương trình loằng ngoằng như vậy. Mình học khối xã hội chắc hỏi năm sinh hay gì đó của nhà bác học nhỉ?“, tài khoản V.H bày tỏ quan điểm.
Theo An Nhiên (Saostar.vn)








- Nam sinh 29 điểm không thể học trường quân đội được tiếp nhận vào ĐH Vinh (19:13)
- Thù tức chuyện cũ rút dao đâm chủ nhà tử vong khi được mời nhậu (19:06)
- Từ hôm nay, người Hà Nội được nộp hồ sơ đất đai ngay tại chung cư (19:03)
- Thêm cầu thủ nhập tịch Malaysia gặp rắc rối (30 phút trước)
- Video: Động đất mạnh 7,4 độ ở Philippines rung chuyển mọi thứ, người dân hoảng loạn bỏ chạy (48 phút trước)
- Truy tìm ô tô nghi tông nam sinh lớp 11 nguy kịch rồi bỏ trốn ở Đắk Lắk (1 giờ trước)
- Điều tàu chở hàng nặng 300 tấn án ngữ trên cầu sông Thương để đối phó nước lũ (1 giờ trước)
- NSƯT làm mẹ đơn thân khi 21 tuổi: "Chồng cũ không trợ cấp đồng nào" (1 giờ trước)
- Hoa hậu Yến Nhi lao thẳng vào máy quay (1 giờ trước)
- Hà Nội lên phương án sơ tán hơn 38.000 người dân vùng bị lũ lụt đe dọa (1 giờ trước)




