-
Hiện trường phát hiện thi thể nam giới trên sông Hồng gần cầu Vĩnh Tuy, Hà Nội: Làm rõ danh tính và nguyên nhân -
Tiếc nuối nàng tiểu thư "Mùa Hè Sôi Động": Hủy hôn thiếu gia sát ngày cưới, tuổi 35 dửng dưng trước đại gia ngàn tỷ -
Đề xuất mới về thuế TNCN: Thu nhập 28 triệu đồng/tháng có thể không phải nộp thuế -
Công an vào cuộc vụ nữ tài xế bị đôi nam nữ đánh gục tại chỗ ở Hà Nội, nhân chứng kể lại sự việc -
Bác sĩ ung thư bóc trần sự thật về nước kiềm: Phép màu chống ung thư hay cú lừa đánh tráo khái niệm? -
Tử vi 12 con giáp thứ 6 ngày 10/4/2026: Thìn khó quyết định, Hợi viển vông -
Giá lăn bánh Hyundai Tucson đầu tháng 4/2026 giảm "sập sàn", "chơi tất tay" Mazda CX-5 và Honda CR-V -
Samsung lý giải việc thay đổi thiết kế trên Galaxy S26 Ultra -
Phiên xử vụ cháy 15 người chết ở Trung Kính: Phẫn nộ cảnh chủ trọ đổ hết tội lỗi cho người vợ đã khuất -
Nghịch lý phim giờ vàng: Khi tiêu đề trở thành "cú lừa" đầy hụt hẫng
Xã hội
09/06/2024 17:50Đáp án tham khảo môn Toán thi lớp 10 Hà Nội năm 2024
Đề thi lớp 10 môn Toán tại Hà Nội năm 2024 Sáng nay (9/6), các thí sinh Hà Nội dự thi vào lớp 10 năm 2024 đã trải qua bài thi môn Toán, trong thời gian 120 phút.
Đề Toán thi vào lớp 10 Hà Nội năm 2024 như sau:

Xin giới thiệu đáp án tham khảo môn Toán thi lớp 10 Hà Nội năm 2024 (thực hiện bởi: Trung tâm Toán học Mathtech (đội ngũ giải bài: thầy Tô Cường, thầy Thái Sơn, cô Đoàn Thảo, cô Diệp Linh):
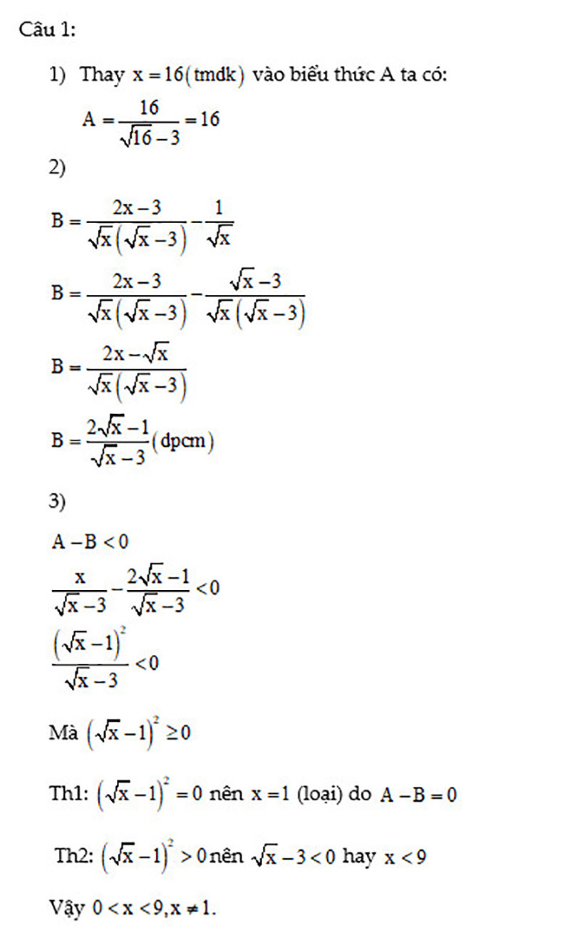
Bài 1:

Bài 2:


Bài 3:


Bài 4:



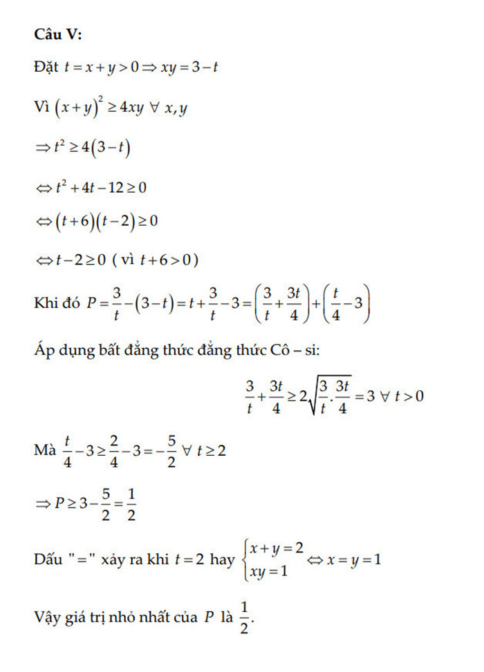
Bài 5:

Như vậy các thí sinh dự thi vào lớp 10 công lập không chuyên tại Hà Nội năm 2024 đã kết thúc các bài thi. Theo báo cáo nhanh của Sở GD-ĐT Hà Nội về thi lớp 10 môn Ngữ văn sáng 8/6, có 2 thí sinh vi phạm quy chế mang điện thoại vào phòng thi và 488 em vắng mặt trong buổi thi đầu tiên.
Chiều 8/6, số thí sinh dự thi môn tiếng Anh là 105.452/105.911, đạt tỷ lệ 99,56% (vắng 459 thí sinh). Trong đó, không có thí sinh cũng như cán bộ coi thi nào vi phạm quy chế.
Năm 2024, với gần 110.000 thí sinh đăng ký thi lớp 10, chỉ có 81.000 em sẽ vào được các trường công lập.
Kỳ thi vào lớp 10 THPT công lập không chuyên ở Hà Nội năm 2024 được tổ chức trong 2 ngày từ 8 - 9/6, với 3 môn là Toán, Văn, Ngoại ngữ.
Điểm xét tuyển lớp 10 = (Điểm Toán + Điểm Văn) x 2 + Điểm Ngoại ngữ + Điểm ưu tiên.
Các thí sinh dự thi thêm các lớp chuyên sẽ thi thêm ngày 10/6.
Dự kiến chậm nhất ngày 2/7, Hà Nội sẽ công bố điểm thi. Điểm chuẩn lớp 10 của Hà Nội được công bố vào ngày 6-9/7.
Thí sinh trúng tuyển sẽ xác nhận nhập học từ ngày 10-12/7. Ngày 19-22/7, những trường chưa đủ chỉ tiêu sẽ xét tuyển bổ sung.

Theo Thanh Hùng (VietNamNet)
- Chủ xe Ford cần chú ý điều này: 423.000 xe bị triệu hồi vị lỗi cần gạt mưa, có cả SUV và bán tải (08:14)
- Thanh niên đột nhập Bách Hóa Xanh phá két sắt, lấy tiền chơi game và mua sắm (08:13)
- Kiểm toán yêu cầu làm rõ trách nhiệm khoản đầu tư hơn 37 tỷ đồng của PVI vào DongA Bank (08:10)
- Ông Trump cảnh báo gay gắt: Iran phải dừng ngay việc "thu phí" tại eo biển Hormuz (20 phút trước)
- Tiếc nuối nàng tiểu thư "Mùa Hè Sôi Động": Hủy hôn thiếu gia sát ngày cưới, tuổi 35 dửng dưng trước đại gia ngàn tỷ (30 phút trước)
- TPHCM: Lửa bao trùm công ty sơn trong đêm, nhiều tiếng nổ lớn gây náo loạn (39 phút trước)
- Đề xuất mới về thuế TNCN: Thu nhập 28 triệu đồng/tháng có thể không phải nộp thuế (46 phút trước)
- Công an vào cuộc vụ nữ tài xế bị đôi nam nữ đánh gục tại chỗ ở Hà Nội, nhân chứng kể lại sự việc (52 phút trước)
- Bác sĩ ung thư bóc trần sự thật về nước kiềm: Phép màu chống ung thư hay cú lừa đánh tráo khái niệm? (1 giờ trước)
- Tử vi 12 con giáp thứ 6 ngày 10/4/2026: Thìn khó quyết định, Hợi viển vông (2 giờ trước)