-
Hỗ trợ khẩn cấp 140 tỷ cho 4 tỉnh khắc phục hậu quả mưa lũ, Thái Nguyên mức cao nhất 50 tỷ
-
Cụ bà 91 tuổi ở Thái Nguyên ngồi canh bát hương chồng trong căn nhà ngập nặng
-
100 thuyền, xuồng từ Chùa Hương tiến về vùng lũ trợ giúp người dân Thái Nguyên, Bắc Ninh
-
Cô gái 20 tuổi trở về từ Malaysia nhập viện cấp cứu vì ngực rỉ dịch xanh bất thường sau một mũi tiêm
-
Ban chấp hành Đảng bộ TP Hà Nội nhiệm kỳ 2025-2030 dự kiến có 75 người
-
Cư dân biệt thự Hà Nội sắm máy bơm "khủng", canh nước ngập như canh "chứng khoán"
-
Vì sao mưa bão cực lớn, dị thường liên tiếp trút xuống gây ngập lụt lịch sử?
-
Chóng mặt khi đang làm việc, người đàn ông đột ngột rơi vào nguy kịch
-
Thủ tướng Phạm Minh Chính tới Thái Nguyên thăm hỏi người dân, chỉ đạo khắc phục hậu quả mưa lũ
-
25 người chen chúc trên tầng 2 nhà duy nhất giữa lũ ngập ở Lạng Sơn
Xã hội
07/08/2018 03:17Học viện ANND đề nghị kiểm tra, rà soát thí sinh trúng tuyển đại học 2018
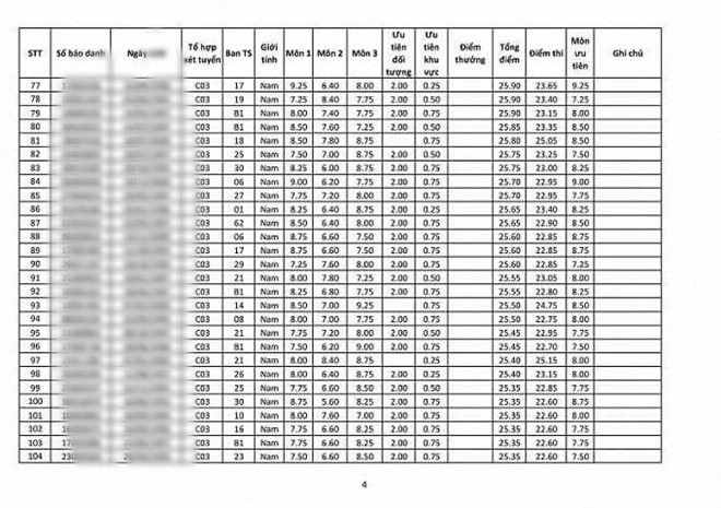
Chiều 6-8, trao đổi với PV Báo CAND, lãnh đạo Phòng đào tạo, Học viện An ninh nhân dân (ANND) cho biết: Kết quả thống kê dữ liệu dưới dạng định lượng từ danh sách thí sinh trúng tuyển vào Học viện ANND năm 2018 cho thấy, số lượng thí sinh trúng tuyển năm nay phần lớn tập trung vào các tỉnh miền núi phía Bắc như Lạng Sơn, Hòa Bình, Sơn La, Cao Bằng, Bắc Kạn trong khi đó, các địa phương có truyền thống hiếu học và có tỷ lệ thí sinh trúng tuyển cao hằng năm lại có tỷ lệ thấp hơn rất nhiều.
Đặc biệt, trong số 6 thí sinh có tổng điểm xét tuyển cao nhất các khối thi (đã bao gồm điểm ưu tiên) thì có tới 3 thí sinh của Hòa Bình, chiếm tỷ lệ 50% và 2 thí sinh của Lạng Sơn, chiếm tỷ lệ 33,3%. Đây cũng là các địa phương đang vướng "lùm xùm" liên quan đến nghi vấn điểm thi THPT quốc gia 2018.
Một điều khá bất ngờ là năm nay Lạng Sơn vươn lên dẫn đầu cả nước về tỷ lệ thí sinh trúng tuyển vào Học viện ANND với 23 thí sinh. Trong số này có 12 thí sinh thi tại Lạng Sơn và 12 thí sinh thuộc K20 thi tại Lạng Sơn, chiếm tỷ lệ 10,5%.
Đồng vị trí thứ 2 là hai tỉnh Hòa Bình và Cao Bằng, mỗi tỉnh có 14 thí sinh, chiếm tỷ lệ 6,4%. Xếp vị trí thứ 3 là Hà Tĩnh với 15 thí sinh, chiếm tỷ lệ 6,82%. Đứng vị trí thứ 4 tiếp tục là hai tỉnh miền núi phía Bắc khác là Sơn La và Bắc Kạn, mỗi tỉnh 11 người, chiếm tỷ lệ 4,5%.

Trái ngược với sự “bứt phá” ngoạn mục của các tỉnh miền núi phía Bắc, các địa phương vốn được đánh giá là có truyền thống hiếu học và nhiều năm liền có tỷ lệ thí sinh trúng tuyển cao như Hà Nội, Thanh Hóa, Nghệ An năm nay lại rất khiêm tốn.
Cụ thể, Hà Nội chỉ có 7 thí sinh trúng tuyển, chiếm tỷ lệ 3,2%; Thanh Hóa có 6 thí sinh trúng tuyển, chiếm tỷ lệ 2,7%, Nghệ An cũng chỉ có 5 thí sinh trúng tuyển, chiếm tỷ lệ 2,3%.
* Thí sinh Lạng Sơn, Hòa Bình là thủ khoa đầu vào!
Không chỉ dẫn đầu về số lượng thí sinh trúng tuyển, các tỉnh miền núi phía Bắc như Hòa Bình và Lạng Sơn còn “áp đảo” khi có tới 5/6 thí sinh là “thủ khoa” vào Học viện ANND năm nay.
Cụ thể, 3/6 thủ khoa đạt tổng điểm xét tuyển cao nhất nhóm ngành nghiệp vụ an ninh của Học viện ANND năm 2018 gồm nam khối C03, nữ khối C03, nữ khối D01 đều là thí sinh của Hòa Bình, chiếm tỷ lệ 50%. 2/6 thủ khoa là thí sinh của Lạng Sơn gồm nam khối A01, nữ D01, chiếm tỷ lệ 33,3%.
Chỉ có một trường hợp nữ khối A01 là của Thái Nguyên, còn các địa phương vẫn thường dẫn đầu về số lượng thủ khoa như Hà Nội, Nam Định, Nghệ An năm nay đều “vắng bóng”.

* Đề nghị nghiên cứu, rà soát lại
Theo Lãnh đạo Phòng đào tạo, Học viện ANND, đây là những thống kê bước đầu mang tính định lượng được Hội đồng tuyển sinh Học viện ANND phân tích.
Xét thấy kết quả thống kê dữ liệu này có những khác thường so với diễn biến thực tế của kỳ thi THPTQG 2018, nhà trường đã báo cáo lên lãnh đạo cấp trên đề nghị tiến hành nghiên cứu và rà soát lại.
Đặc biệt, kiến nghị, trong trường hợp cần thiết, có thể đối chiếu điểm với bài thi gốc của một số thí sinh trúng tuyển, nhất là các địa phương đang có nghi vấn gian lận điểm thi THPTQG nhằm đảm bảo tính chính xác, công bằng cũng như đảm bảo chất lượng đào tạo của nhà trường bởi chất lượng đầu vào sẽ ảnh hưởng rất lớn đến chất lượng đầu ra.
Đại diện Học viện ANND cũng cho rằng: Quan điểm của nhà trường là mong muốn sớm có kết quả rà soát điểm ở Sơn La và Hòa Bình. Nếu có trường hợp thí sinh trúng tuyển gian lận, nhà trường sẽ có hình thức xử lý theo quy chế của Bộ GD&ĐT.
Hiện tại, trường vẫn chấp nhận sử dụng kết quả này và chưa có chủ trương kiểm tra đầu vào của thí sinh vì không có cơ sở pháp lý để thực hiện. Sắp tới, Bộ Công an sẽ có hội nghị công tác tuyển sinh, nhà trường sẽ kiến nghị để kỳ thi THPT quốc gia của Bộ GD&ĐT được tổ chức khách quan, chính xác trong những năm tiếp theo.
Theo Huyền Thanh (CAND Online)








- Kỹ sư Lê Văn Tạch: Lái xe thoát qua đường ngập nước thành công, đừng vội mừng (16:09)
- MU họp với dàn sao trụ cột xem giữ hay sa thải Ruben Amorim (16:00)
- Truy tìm để đánh đối thủ, nhóm 12 đối tượng khiến 2 thiếu niên thương vong (16:00)
- Myra Trần thi The Voice Mỹ, không HLV nào bấm chọn (24 phút trước)
- Ukraine hé lộ số vụ tấn công bằng tên lửa ‘thủy thần’ nhằm vào Nga (28 phút trước)
- Xác định hai đội tuyển đầu tiên vào tứ kết U20 World Cup 2025 (31 phút trước)
- Sau cơn bạo bệnh ở tuổi 70, tôi mới biết đứa con hiếu thảo của mình trong mắt hàng xóm lại là người như vậy (47 phút trước)
- Hỗ trợ khẩn cấp 140 tỷ cho 4 tỉnh khắc phục hậu quả mưa lũ, Thái Nguyên mức cao nhất 50 tỷ (48 phút trước)
- Mỹ nhân đẹp tới từng chân tơ kẽ tóc, diễn xuất đơ cứng vẫn được tha thứ bởi xem phim vì nhan sắc thì có gì sai? (56 phút trước)
- Cụ bà 91 tuổi ở Thái Nguyên ngồi canh bát hương chồng trong căn nhà ngập nặng (58 phút trước)




