-
Tử vi 12 con giáp - Chủ nhật ngày 17/5/2026: Mùng 1 Hợi lắm tiền, Sửu hăng hái -
Cô gái bị nhóm người đi Lexus đánh hội đồng ở Hà Nội kể lại sự tình, tất cả bắt đầu từ 1 câu hỏi? -
Báo động đỏ: Nhiều bạn trẻ đón tuổi 20 với chỉ số huyết áp "chạm ngưỡng tử thần" vì nghiện trà sữa -
Khởi tố người đàn ông lái Jeep đi ngược chiều, truy đuổi và đe dọa tài xế xe ôm công nghệ -
Phó Chủ tịch Hiệp hội Sáng tạo và Bản quyền tác giả Việt Nam Nguyễn Hải Bình bị khởi tố -
Thông tin mới vụ nhóm nam nữ đi Lexus đánh 2 cô gái dã man giữa phố nghi vì trêu ghẹo không được -
Showbiz Việt đầu năm 2026: Hàng loạt bê bối và đổ vỡ gây chấn động dư luận -
Đề xuất đầu tư hơn 261.000 tỷ đồng xây dựng Vành đai 5 vùng Thủ đô -
Công an Hà Nội xác minh vụ hai nhóm thanh niên hỗn chiến trên phố Huế, một cô gái gục xuống vỉa hè -
Giải mã sự thật clip Tổng thống Donald Trump bị đồn "nhìn trộm" tài liệu của ông Tập Cận Bình
Xã hội
09/01/2025 13:14Công an công bố danh sách phạt nguội: 1.200 chủ xe có biển số sau đây đến làm việc và thực hiện việc nộp phạt theo quy định

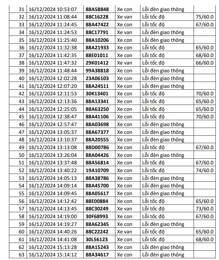
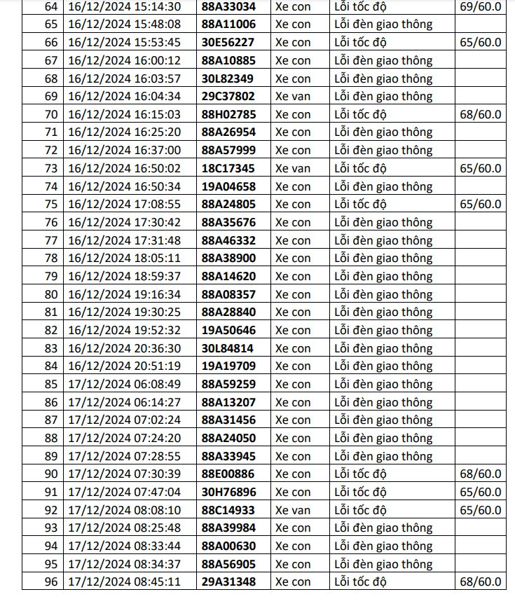
Ngày 7/1, Cổng thông tin điện tử Công an tỉnh Vĩnh Phúc đã có thông báo kết quả phát hiện, xử lý phạt nguội qua Hệ thống camera giám sát giao thông từ ngày 15/12/2024 đến ngày 31/12/2024.
Theo đó, từ ngày 15/12/2024 - 31/12/2024, qua Hệ thống camera giám sát giao thông, Công an thành phố Vĩnh Yên đã phát hiện và xử phạt “nguội” đối với các trường hợp vi phạm Luật an toàn giao thông.
Danh sách bao gồm 1217 trường hợp, với hai lỗi vi phạm phổ biến là lỗi đèn giao thông và lỗi tốc độ. Để xem danh sách phạt nguội, người dân truy cập vào link sau đây .
Công an yêu cầu chủ phương tiện đến Đội Cảnh sát giao thông, Công an TP. Vĩnh Yên để làm việc và thực hiện việc nộp phạt theo đúng quy định.
Một số phương tiện trong danh sách bị phạt nguội:



Bên cạnh đó, người dân có thể tra cứu phạt nguội qua ứng dụng VNeTraffic theo các bước như sau:
Bước 1: Tải và cài đặt app VNeTraffic về điện thoại trên App store/ CH Play.
Bước 2: Đăng nhập tài khoản
Trường hợp chưa có tài khoản thì đăng ký tài khoản theo các bước sau:
chọn="" đăng="" ký=">" quét="" mã="" qr="" bên="" góc="" trên="" cùng="" phải="" của="" thẻ="" cccd=">" kiểm="" tra="" thông="" tin=""> Nhập số điện thoại => Bấm xác nhận
Sau đó hệ thống sẽ gửi mã OTP về điện thoại, cá nhân nhập mã OTP và thiết lập mật khẩu.
Bước 3: Để kiểm tra phạt nguội cá nhân chọn mục "Tra cứu vi phạm".
Bước 4: Nhập biển số xe cần tra cứu và nhấn “Kiểm tra”
Theo Hà Giang (Nhịp sống Thị trường)
- Lời khai nhóm thanh niên ném "bom xăng" vào nhà dân giữa đêm, công an Đồng Nai quyết định khởi tố (20:19)
- Hà Nội quy hoạch nhà ở xã hội dọc các tuyến Metro: Giải bài toán an cư cho người thu nhập thấp (20:10)
- Vụ bê bối gia tộc Singha: Nữ diễn viên Mind Lapassalan bất ngờ thông báo ly thân chồng (39 phút trước)
- Iran bác cáo buộc của Mỹ về eo biển Hormuz, công khai 5 điều kiện đàm phán ngặt nghèo (45 phút trước)
- Lý do ca sĩ Miu Lê bị xử phạt hành chính nhưng sau đó bị khởi tố hình sự (1 giờ trước)
- Cô dâu khóc sưng mắt vì mất 6 chỉ vàng mẹ chồng tặng trong ngày cưới (1 giờ trước)
- Diễn biến mới vụ 2 cô gái bị 2 thanh niên đuổi đánh giữa đêm nghi do trêu ghẹo bất thành ở Hà Nội (2 giờ trước)
- Đắk Lắk: Chính quyền lên tiếng về thông tin "trôi tủ vàng", thiệt hại hàng tỷ đồng sau cơn giông lốc (2 giờ trước)
- Chelsea chính thức bổ nhiệm HLV Xabi Alonso với bản hợp đồng dài hạn (3 giờ trước)
- Giả vờ mua 10 quả trứng gà để cướp dây chuyền vàng hơn 74 triệu đồng (3 giờ trước)