-
Bé trai 8 tuổi ở Đồng Nai bất ngờ tử vong khi chơi ở trường mầm non gần nhà, nghi ngờ bị điện giật -
Người đàn ông bồi thường 20 triệu sau cú tát nam thanh niên đang đốt vàng mã: Hàng xóm hé lộ sự thật -
Thảm kịch tại Minab: 160 nấm mộ trắng và nỗi đau sau cuộc không kích vào trường nữ sinh -
Giá xăng dầu Việt Nam sẽ tăng đến mức nào trước căng thẳng Mỹ - Iran? -
Giá vàng tăng từng ngày, nhiều người áp lực chuyện mua vàng cưới và xoay xở trả nợ vàng -
Thực hư đoạn video một người phụ nữ quỳ lạy van xin CSGT giữa đường lan truyền rộng rãi trên MXH -
Gặp bố chồng cũ đi nhặt ve chai, tôi gửi ông 20 triệu – sáng hôm sau choáng váng vì 100 cuộc gọi nhỡ -
Vừa cưới tròn một tháng đã dắt nhau ra tòa: Sự thật phía sau cuộc hôn nhân ngắn ngủi -
Hiện trường ô tô 16 chỗ bốc cháy ngùn ngụt trên bàn nâng xe cứu hộ, hé lộ nguồn cơn ban đầu -
Từ đứa trẻ bị bỏ rơi trên núi đến "nữ vương" đế chế thời trang 36 triệu USD
Xã hội
08/07/2022 17:34Đề và gợi ý đáp án môn thi tổ hợp Khoa học tự nhiên: Vật lý - Hóa học - Sinh học tốt nghiệp THPT 2022
Sáng nay (8/7), các sĩ tử trên cả nước tham dự kỳ thi tốt nghiệp THPT 2022 đã làm bài thi thứ 3 - môn Khoa học tự nhiên (tổ hợp các môn: Vật lý, Hóa học, Sinh học) với thời gian 150 phút.
Trước đó, ngày 7/7, các sĩ tử đã hoàn thành bài thi môn Ngữ văn (theo hình thức tự luận) và môn Toán (theo hình thức trắc nghiệm).
Kỳ thi tốt nghiệp THPT 2022 diễn ra từ ngày 6-9/7/2022, với 5 bài thi. Trong 5 bài thi, chỉ có bài Ngữ văn thi theo hình thức tự luận, các bài thi còn lại thi theo hình thức trắc nghiệm khách quan.
Trong đó có 3 bài thi bắt buộc là Toán, Ngữ văn, Ngoại ngữ. Hai bài thi tự chọn là Khoa học Tự nhiên (gồm các môn Vật lý, Hóa học, Sinh học) và bài thi Khoa học Xã hội (gồm các môn Lịch sử, Địa lý, Giáo dục công dân).
Để xét công nhận tốt nghiệp, thí sinh phải thi đủ 4 bài thi, gồm 3 bài thi bắt buộc và chọn một trong hai bài thi tự chọn.
Đề thi bám sát nội dung cơ bản của chương trình THPT, chủ yếu lớp 12 và sẽ không ra vào phần được xác định không dạy, phần đọc thêm, tự học trong Hướng dẫn điều chỉnh nội dung chương trình cấp THPT đã được Bộ Giáo dục và đào tạo ban hành tháng 9/2021.
Đề thi chính thức được xây dựng với cấu trúc tương tự như đề thi tham khảo của các môn thi vừa được Bộ Giáo dục và đào tạo công bố, với 4 mức độ: Nhận biết, thông hiểu, vận dụng và vận dụng cao.
Để làm bài thi tổ hợp Khoa học tự nhiên đạt hiệu quả cao nhất, các thí sinh cần chú ý: Lưu ý mã đề thi trước khi làm bài, làm trên cùng một phiếu trả lời trắc nghiệm, thí sinh làm các bài thi KHTN trên cùng một phiếu trả lời trắc nghiệm, chỉ được tô bằng bút chì đen, điền chính xác và đủ thông tin vào các mục trống ở phía trên phiếu trả lời trắc nghiệm, không cùng mã đề thi, phải báo ngay với cán bộ coi thi.
Đề và gợi ý đáp án môn Sinh tốt nghiệp THPT 2022





Mã đề 202:

Mã đề 209:

Mã đề 212:

Mã đề 215:

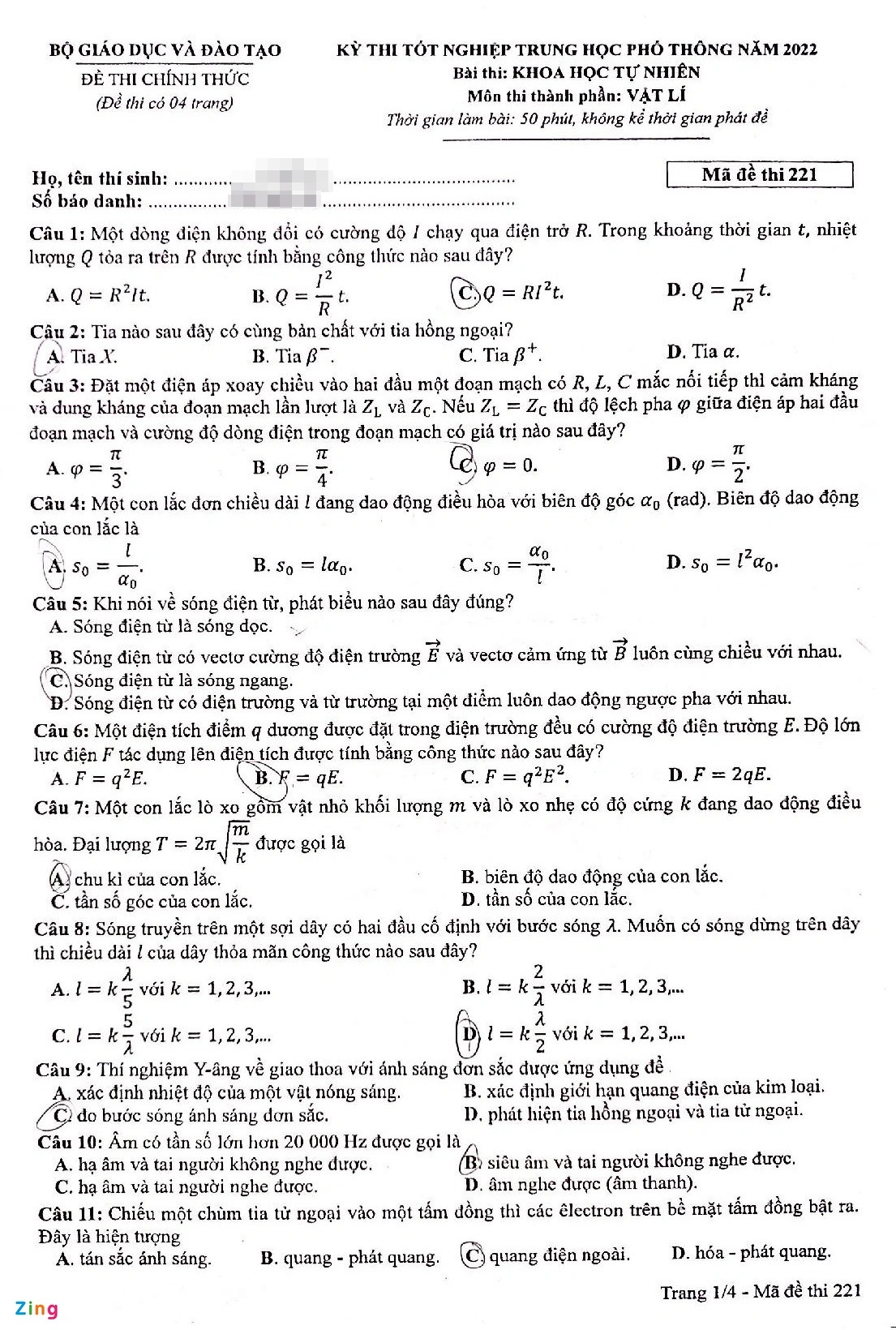
Đề thi và gợi ý đáp án môn Vật lý tốt nghiệp THPT 2022





Đề thi và gợi ý giải đề thi môn Hóa học tốt nghiệp THPT 2022





Năm 2022, cả nước có hơn một triệu thí sinh đăng ký dự thi tốt nghiệp THPT, trong đó có 860.000 thí sinh thi vừa để xét công nhận tốt nghiệp THPT, vừa xét tuyển đại học. Theo thống kê của Bộ Giáo dục và Đào tạo, cả nước có 555.800 thí sinh (chiếm 55,83%) chọn thi tổ hợp Khoa học xã hội. Số chọn bài Khoa học tự nhiên là gần 319.700 (chiếm 31,94%).
Buổi chiều, thí sinh thi Ngoại ngữ (đăng ký một trong các tiếng Anh, Nga, Pháp, Trung, Đức, Nhật, Hàn). Thời gian làm bài 60 phút, tính giờ từ 14h30. Đề thi tổ hợp và Ngoại ngữ đều có hình thức trắc nghiệm.
NT (Nguoiduatin.vn)
- Tai nạn lật xe trên cao tốc Nội Bài - Lào Cai: 2 người thương vong khi đâm vào khu vực thi công (17:35)
- Chuyên cơ của Ronaldo rời Saudi Arabia giữa đêm khi căng thẳng Trung Đông leo thang (17:25)
- Sở GD&ĐT Hà Nội yêu cầu Trường THPT Phan Bội Châu tổ chức kiểm điểm liên quan việc tuyển sinh (17:19)
- Bắt giữ bà cụ là đối tượng trốn nã nguy hiểm, thay tên đổi họ cả gia đình để lẩn trốn suốt 27 năm (17:16)
- Địch Lệ Nhiệt Ba lỡ hẹn Paris Fashion Week, rộ tin kẹt ở Dubai giữa lúc Trung Đông căng thẳng (1 giờ trước)
- Bé trai 8 tuổi ở Đồng Nai bất ngờ tử vong khi chơi ở trường mầm non gần nhà, nghi ngờ bị điện giật (1 giờ trước)
- Thế kẹt của Bắc Kinh: Khi "Cơn thịnh nộ" từ Washington thiêu rụi bàn cờ năng lượng (1 giờ trước)
- Bán vàng tích lũy của con khi giá tăng, nửa năm sau mua lại vượt khả năng chi trả, gia đình rơi vào thế khó (1 giờ trước)
- Honda tung ưu đãi tháng 3/2026: Civic giảm tới 100 triệu đồng, CR-V, City, HR-V, BR-V đều hạ giá (1 giờ trước)
- "Cơn lốc" thanh lọc quân đội Trung Quốc trước thềm kỳ họp Lưỡng hội: Thêm 3 thượng tướng bị bãi nhiệm (1 giờ trước)