-
Nữ sinh ở Hưng Yên nhập viện sau khi uống thuốc trừ sâu, gia đình tiết lộ câu chuyện phía sau -
Người đàn ông mù bán tăm dạo 34 năm, gom tiền xây nhà 5 tỷ tặng vợ, bất ngờ trước thu nhập mỗi ngày -
Cuba phát tín hiệu "mở cửa" với doanh nghiệp Mỹ: Xóa bỏ rào cản, trải thảm đỏ đón nhà đầu tư quốc tế -
Đón "tin vui" từ 1/7: Mẹ sinh con thứ 2 được nghỉ 7 tháng, cha có thêm thời gian "vàng" chăm sóc gia đình -
Góc khuất Showbiz Việt: Khi lòng tin đặt sai chỗ và những vụ trộm tài sản chấn động từ chính trợ lý thân cận -
Tử vi thứ 4 ngày 18/3/2026 của 12 con giáp: Ngọ vất vả, Hợi ăn nên làm ra -
Cho em chồng vay 800 triệu không giấy tờ, 8 năm sau đòi lại thành "người tính toán": Câu chuyện khiến nhiều người trăn trở -
Cổ phiếu Hóa chất Đức Giang bị bán tháo sau tin Chủ tịch bị bắt -
Bí ẩn về "ký ức tiền kiếp": Hành trình đi tìm lời giải từ lời kể của một đứa trẻ 2 tuổi -
Hé lộ thân thế Chủ tịch Hóa chất Đức Giang: Top giàu nhất sàn chứng khoán, với khối tài sản nghìn tỷ
Xã hội
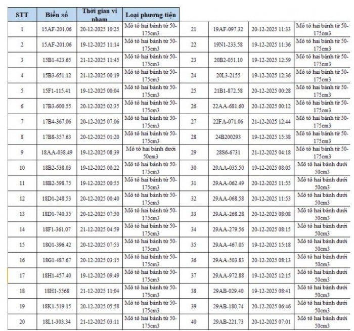
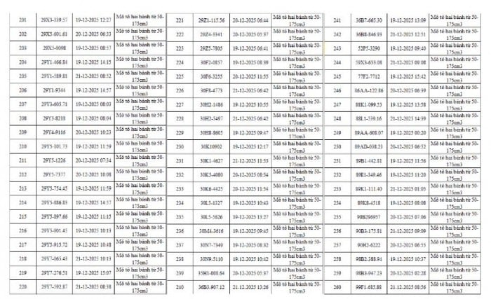
15/01/2026 10:53Hà Nội: Danh sách 344 trường hợp vi phạm giao thông nhanh chóng nộp phạt nguội theo Nghị định 168
Thông tin từ lực lượng chức năng cho thấy, từ ngày 12/1 đến 14/1/2026, hệ thống camera AI tại nội đô Hà Nội, đặc biệt là ở khu vực nút giao Phạm Văn Bạch – Hoàng Quán Chi, đã phát hiện hàng chục trường hợp xe máy vi phạm giao thông như vượt đèn đỏ, đi ngược chiều, không đội mũ bảo hiểm, dừng đỗ sai quy định… và gửi thông báo xử lý đến chủ phương tiện.
Danh sách chi tiết 260 trường hợp xe máy vi phạm như sau:





Từ 12h00’ ngày 12/1/2026 đến 12h00’ ngày 13/1/2026, đã tự động phát hiện 52 trường hợp xe máy vi phạm. Danh sách 52 trường hợp xe máy vi phạm như sau:

Từ 12h00’ ngày 11/1/2026 đến 12h00’ ngày 12/1/2026, đã tự động phát hiện 32 trường hợp xe máy vi phạm. Danh sách 32 trường hợp xe máy vi phạm như sau:

Mức phạt áp dụng theo Nghị định 168/2024/NĐ-CP đối với các lỗi vi phạm phổ biến như sau:
- Đi ngược chiều, vượt đèn đỏ, đi trên vỉa hè sai quy định: phạt tiền 4 – 6 triệu đồng.
- Dừng xe, đỗ xe ở lòng đường, vỉa hè trái phép; chở quá số người quy định; không đội mũ bảo hiểm đúng cách: phạt tiền 400.000 – 600.000 đồng.
Những mức phạt này là quy định chung cho xe máy theo Nghị định 168 và áp dụng đối với các lỗi bị phát hiện qua hệ thống camera giám sát.
Ngoài ra, việc chủ động tra cứu và nộp phạt “nguội” kịp thời giúp chủ phương tiện tránh bị cưỡng chế thi hành quyết định xử phạt hành chính, ảnh hưởng đến các thủ tục hành chính liên quan đến phương tiện như đăng kiểm, thu hồi giấy tờ hoặc cưỡng chế bằng biện pháp trừ tiền trong tài khoản nếu không chấp hành. Theo quy định hiện hành, quyết định xử phạt có hiệu lực thi hành trong vòng 1 năm kể từ ngày ban hành, trừ các trường hợp đặc biệt theo quy định pháp luật.
Do vậy, cơ quan chức năng khuyến cáo người dân nên tra cứu vi phạm thông qua các kênh chính thức như ứng dụng VNeTraffic, website của Cục Cảnh sát Giao thông hoặc liên hệ trực tiếp với lực lượng chức năng để xử lý phạt “nguội” đúng hạn, tránh ảnh hưởng đến quyền lợi và các nghĩa vụ tiếp theo.
- Nhạc sĩ Minh Khang thừa nhận say xỉn, chính thức xin lỗi sau ồn ào mắng chửi tài xế công nghệ (08:24)
- Nữ sinh ở Hưng Yên nhập viện sau khi uống thuốc trừ sâu, gia đình tiết lộ câu chuyện phía sau (08:19)
- Lời khai khó tin của nhóm cướp nhí thực hiện liên tiếp 3 vụ án trong một đêm ở Tây Ninh (08:15)
- Người đàn ông mù bán tăm dạo 34 năm, gom tiền xây nhà 5 tỷ tặng vợ, bất ngờ trước thu nhập mỗi ngày (08:12)
- MPV điện giá rẻ Wuling Hongguang EV 2026 "rục rịch" bán tại Việt Nam: Kích thước tương đương Xpander (08:02)
- Đón "tin vui" từ 1/7: Mẹ sinh con thứ 2 được nghỉ 7 tháng, cha có thêm thời gian "vàng" chăm sóc gia đình (39 phút trước)
- Góc khuất Showbiz Việt: Khi lòng tin đặt sai chỗ và những vụ trộm tài sản chấn động từ chính trợ lý thân cận (52 phút trước)
- Giá vàng ngày 18/3/2026: Thế giới thủng mốc 5.000 USD, vàng nội vẫn trụ vững ở đỉnh cao (1 giờ trước)
- Hỏa hoạn dữ dội tại trung tâm New York ngay trước thềm lễ diễu hành Thánh Patrick (1 giờ trước)
- Diễn biến thời tiết ngày 18/3: Miền Bắc sáng sớm sương mù, trưa hửng nắng; Nam Bộ duy trì nắng nóng (1 giờ trước)