-
Bộ Công an đề xuất tăng 50% thịt, cá cho phạm nhân từ tháng 7, tổ chức khám định kỳ hằng năm -
Truy tìm người phụ nữ đi cùng người đàn ông tử vong lõa thể bất thường tại nhà nghỉ ở Lâm Đồng -
Thông tin đầy đủ về dự án hơn 400 căn nhà ở xã hội ở Hà Nội dự kiến mở bán giá khoảng 29 triệu/m² -
Về quê ăn Tết 5 ngày, mẹ chồng "nhắc khéo" đưa 15 triệu đồng khiến vợ chồng trẻ "toát mồ hôi" -
Video: Màn giải cứu con tin "thần tốc" hơn 1 phút của Cảnh sát đặc nhiệm Việt Nam gây ấn tượng mạnh tại UAE -
Nguồn cơn vụ Bentley và xe 7 chỗ va chạm, 3 người đuổi đánh nhau giữa đường, nhân chứng lên tiếng -
Giá vàng leo thang từng giờ, người mua truyền tai "chiêu lạ" xếp hàng thế chân trước ngày vía Thần Tài -
Chia sẻ sai bản tin dự báo thời tiết trên mạng có thể bị xử phạt nặng, mức tiền khiến nhiều người giật mình -
Cậu bé 14 tuổi “vác cả thế giới” trên vai về quê ăn Tết: Hình ảnh tự lập gây bão mạng xã hội -
Hiện trường phát hiện một chiếc ô tô cùng lá thư "tuyệt mệnh" bên bờ hồ ở Ninh Bình
Xã hội
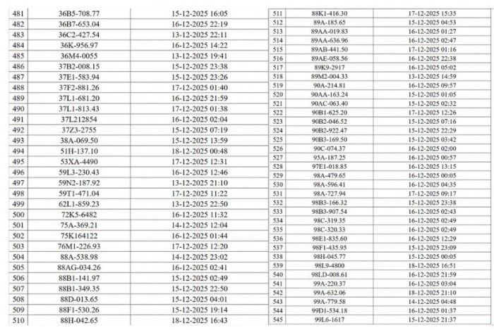
30/12/2025 07:09Hà Nội: Danh sách 545 chủ biển số xe sau cần nhanh chóng nộp phạt nguội theo Nghị định 168
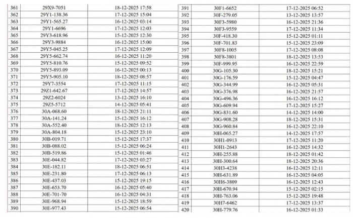
Theo đó, từ khi Trung tâm điều khiển giao thông ứng dụng AI chính thức đi vào hoạt động từ ngày 13/12/2025, hệ thống camera AI với hơn 1.800 thiết bị lắp đặt tại các nút giao thông trọng điểm đã phát hiện, ghi hình và tự động phân tích các hành vi vi phạm như vượt đèn đỏ, không đội mũ bảo hiểm, đi sai làn đường và các lỗi khác. Trong chỉ ba ngày đầu vận hành, hệ thống đã phát hiện gần 400 trường hợp vi phạm tại nhiều tuyến đường lớn của Thủ đô.
Danh sách 545 phương tiện vi phạm (đợt 1) được Phòng Cảnh sát giao thông – Công an TP Hà Nội tổng hợp và gửi cho các chủ phương tiện để thực hiện nộp phạt nguội theo quy định. Việc xử lý phạt nguội diễn ra dựa trên hình ảnh, thời gian, vị trí và lỗi vi phạm được camera AI ghi nhận chính xác, làm cơ sở pháp lý để xử lý vi phạm trên môi trường điện tử.









Đối với người dân cư trú tại Hà Nội, có thể tra cứu và nộp phạt nguội thông qua nhiều kênh như ứng dụng VNeTraffic, trang thông tin điện tử của Cục Cảnh sát Giao thông – Bộ Công an, hoặc trực tiếp tại 14 điểm tiếp nhận xử lý vụ việc vi phạm hành chính do Phòng Cảnh sát giao thông bố trí nhằm hỗ trợ người dân giải quyết thủ tục.
Việc đưa hệ thống camera AI vào giám sát và xử lý vi phạm được đánh giá là bước tiến trong công tác quản lý giao thông đô thị, góp phần nâng cao hiệu quả công tác răn đe, giảm ùn tắc và nâng cao ý thức tuân thủ pháp luật của người tham gia giao thông. Kết quả ban đầu cũng cho thấy, sau khi áp dụng camera AI, các lỗi như vượt đèn đỏ và không đội mũ bảo hiểm đã giảm tại nhiều điểm nóng giao thông.
Để tránh các trường hợp xử lý vi phạm hành chính về sau, người dân nên chủ động tra cứu tình trạng phương tiện, kiểm tra lỗi vi phạm và hoàn tất thủ tục nộp phạt nguội đúng thời hạn theo quy định của pháp luật. Việc nộp phạt muộn có thể ảnh hưởng đến quyền lợi của chủ phương tiện, đặc biệt khi thực hiện các thủ tục hành chính liên quan đến phương tiện như sang tên, đổi biển số hay làm mới giấy phép lái xe.
- Làm tóc trước Tết sau 4 tháng nuôi dài, thanh niên nhận cái kết đắng, phải đội mũ 24/24 (18:04)
- Clip: Thót tim khoảnh khắc cụ ông suýt bị tàu hàng nghiền nát vì băng qua đường ray tập thể dục (31 phút trước)
- Các đơn vị vận chuyển khuyến cáo khách hàng cần check kỹ lịch giao hàng để tránh kẹt đơn qua Tết (47 phút trước)
- Cục Đường bộ ra chỉ đạo khẩn vụ giá vé xe khách tăng gấp 7 lần so với ngày thường: 3 tỉnh bị gọi tên (1 giờ trước)
- Rộ nghi vấn dàn dựng "khách mua mai quên trả tiền" để bán hết mai, người trong cuộc lên tiếng bất ngờ (1 giờ trước)
- Kết quả điều tra ban đầu vụ 2 thiếu niên dùng kiếm sát hại một người ở Hưng Yên, tạm giữ các bị cáo (1 giờ trước)
- Nghẹt thở màn đấu súng và kích nổ xe bọc thép chở tiền như phim hành động tại Italy (2 giờ trước)
- Bộ Công an đề xuất tăng 50% thịt, cá cho phạm nhân từ tháng 7, tổ chức khám định kỳ hằng năm (2 giờ trước)
- Khởi tố nhóm thanh thiếu niên hành hung nam sinh lớp 9 tử vong vì mâu thuẫn ghen tuông (2 giờ trước)
- Đau bụng nhẹ, cụ ông 78 tuổi suýt tử vong vì “quả bom nổ chậm” trong ổ bụng (2 giờ trước)