-
Ngập lụt ở Cao Bằng, Thái Nguyên, Lạng Sơn, Bắc Ninh kéo dài đến khi nào?
-
Vụ án Mr Pips: Thu giữ 2,3 triệu USD, 890 miếng vàng SJC, 246 kg vàng
-
Trước khi vướng lùm xùm tiền ảo AntEx, Nexttech Group của Shark Bình đã đột ngột giảm vốn từ 500 xuống còn 4 tỷ đồng; Ngân Lượng cũng giảm 85% vốn
-
Công an xác minh clip tàu hỏa húc văng bàn ghế ở phố cà phê đường tàu Hà Nội
-
Cháy nhà ở Lâm Đồng khiến 2 vợ chồng thiệt mạng: Thông tin mới nhất
-
Khoảnh khắc thót tim cứu hai ông cháu 18 tiếng cầm cự trên mái nhà giữa lũ dữ
-
Thái Nguyên và những giọt nước mắt trong lũ dữ: "Con cháu tôi 3 ngày nay không có cơm"
-
Cả nước bật “chế độ cứu trợ khẩn cấp” hướng về Thái Nguyên
-
Chỉ cần giải quyết vấn đề này, người Hà Nội không còn phải bì bõm lội nước
-
Hỗ trợ khẩn cấp 140 tỷ cho 4 tỉnh khắc phục hậu quả mưa lũ, Thái Nguyên mức cao nhất 50 tỷ
Xã hội
29/01/2025 04:29Các chủ xe có biển số sau phải đóng phạt 'nguội' theo Nghị định 168
Ngày 23/1, Cổng thông tin điện tử Công an tỉnh Thái Bình đã đăng tải danh sách các phương tiện vi phạm Luật Giao thông đường bộ bị xử lý phạt "nguội".
Cụ thể, từ ngày 15/1/2025 đến ngày 22/1/2025, Phòng Cảnh sát giao thông, Công an tỉnh ghi nhận 69 lượt phương tiện vi phạm Luật Giao thông đường bộ bị xử lý phạt nguội.
Danh sách cụ thể như sau:
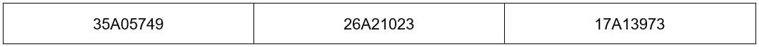
Qua hệ thống camera giám sát phát hiện 05 lượt phương tiện vi phạm lỗi Không chấp hành hiệu lệnh của đèn tín hiệu giao thông gồm:

Qua tuần tra kiểm soát của lực lượng Cảnh sát giao thông, Công an tỉnh, ghi nhận 64 lượt phương tiện vi phạm lỗi vượt quá tốc độ gồm:

Tuần trước đó (từ ngày 08/01/2025 đến ngày 14/01/2025), Phòng Cảnh sát giao thông, Công an tỉnh Thái Bình đã ghi nhận 65 lượt phương tiện vi phạm Luật Giao thông đường bộ bị xử lý phạt "nguội".
Theo đó, danh sách bao gồm 3 lượt phương tiện vi phạm lỗi Không chấp hành hiệu lệnh của đèn tín hiệu giao thông và 62 lượt phương tiện vi phạm lỗi vượt quá tốc độ:

Theo Hà Giang (Nhịp Sống Thị Trường)








- Ngập lụt ở Cao Bằng, Thái Nguyên, Lạng Sơn, Bắc Ninh kéo dài đến khi nào? (08/10/25 23:20)
- Vụ án Mr Pips: Thu giữ 2,3 triệu USD, 890 miếng vàng SJC, 246 kg vàng (08/10/25 23:04)
- Chị dâu ly hôn, đến ngày chị ấy dọn ra khỏi nhà tôi mới biết chồng mình không hề đơn giản (08/10/25 22:57)
- Xử lý người đưa tin trên Tiktok xuyên tạc vụ thảm án Đồng Nai (08/10/25 22:45)
- Trước khi vướng lùm xùm tiền ảo AntEx, Nexttech Group của Shark Bình đã đột ngột giảm vốn từ 500 xuống còn 4 tỷ đồng; Ngân Lượng cũng giảm 85% vốn (08/10/25 22:21)
- Cảnh tượng "nghẹt thở" sau Tết đoàn viên (08/10/25 22:15)
- HLV Kim Sang-sik nói thẳng về bê bối của ĐT Malaysia, nêu ra điều cực kỳ quan trọng cho ĐT Việt Nam (08/10/25 22:00)
- Công an xác minh clip tàu hỏa húc văng bàn ghế ở phố cà phê đường tàu Hà Nội (08/10/25 21:40)
- Cháy nhà ở Lâm Đồng khiến 2 vợ chồng thiệt mạng: Thông tin mới nhất (08/10/25 21:20)
- Đám cưới Selena Gomez lộ vật thể đáng ngờ phải giấu vội khi bị quay đến (08/10/25 21:12)




