-
Giá xăng dầu đảo chiều giảm sâu, thị trường giải tỏa áp lực sau chuỗi ngày tăng nóng -
Biển lửa tại "nút thắt cổ chai" Hormuz: Thái Lan công bố ảnh tàu hàng bốc cháy -
Người phụ nữ gửi đơn kiện ông Thích Nhuận Đạt, lộ diện sự thật về khu nông trại ở Mỹ Sơn -
Địa chấn trước thềm World Cup: Iran bất ngờ tuyên bố rút lui vì căng thẳng địa chính trị -
Vụ đỗ xe chặn đầu, đuôi rồi khoe quan hệ rộng ở Hà Tĩnh: Lý do người bị chặn cũng nhận án phạt -
TPHCM tuyển sinh lớp 1 và lớp 6 theo nguyên tắc học gần nhà -
Tài xế ô tô tập lái bị xử phạt khi bất chấp vượt qua đường sắt lúc đèn đỏ đã bật và cần chắn đang hạ -
Tuyển sinh lớp 10 tại TPHCM năm 2026: Nhiều điều chỉnh đáng chú ý, số lượng thí sinh đạt mức kỷ lục -
Công an làm việc với tài xế ô tô cầm gậy đe dọa người đi xe máy, bước đầu xác định nguyên nhân vụ việc -
Chu Thanh Huyền gây sốt với khoảnh khắc xắn tay dọn cỗ khi về quê Quang Hải
Xã hội
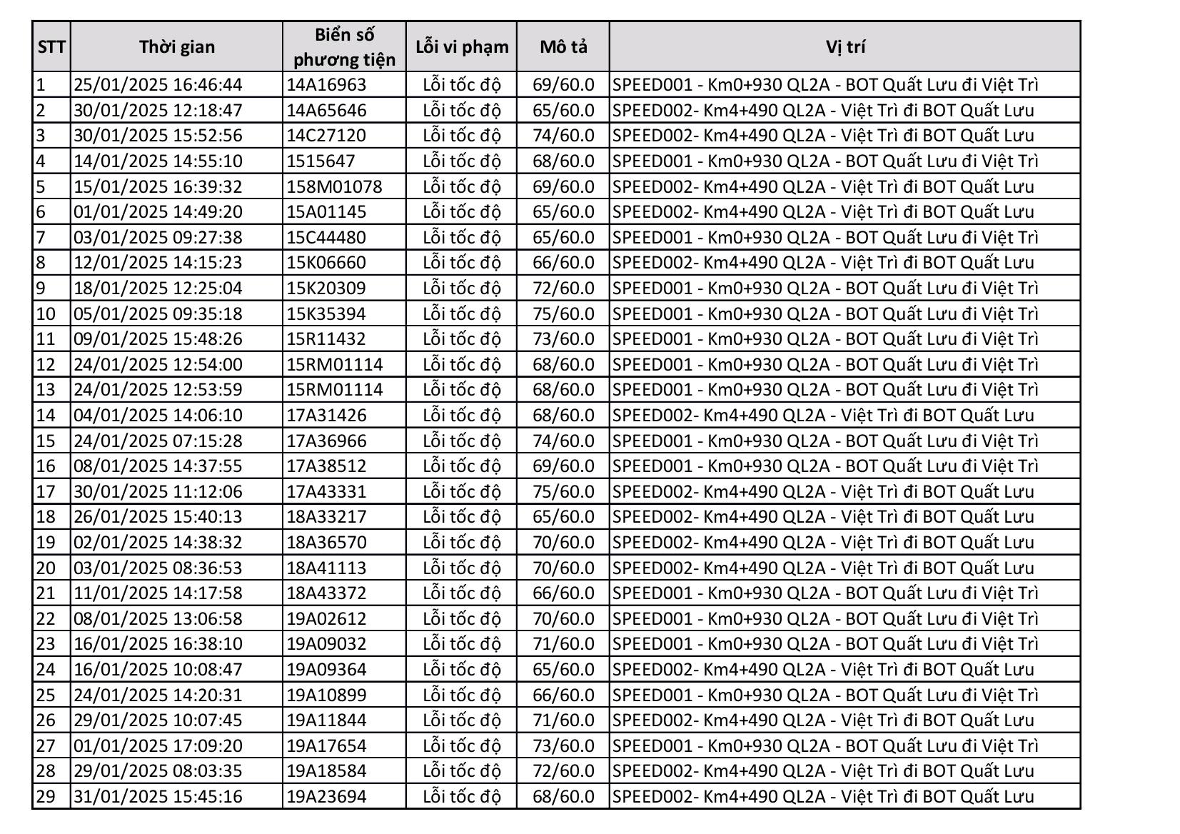
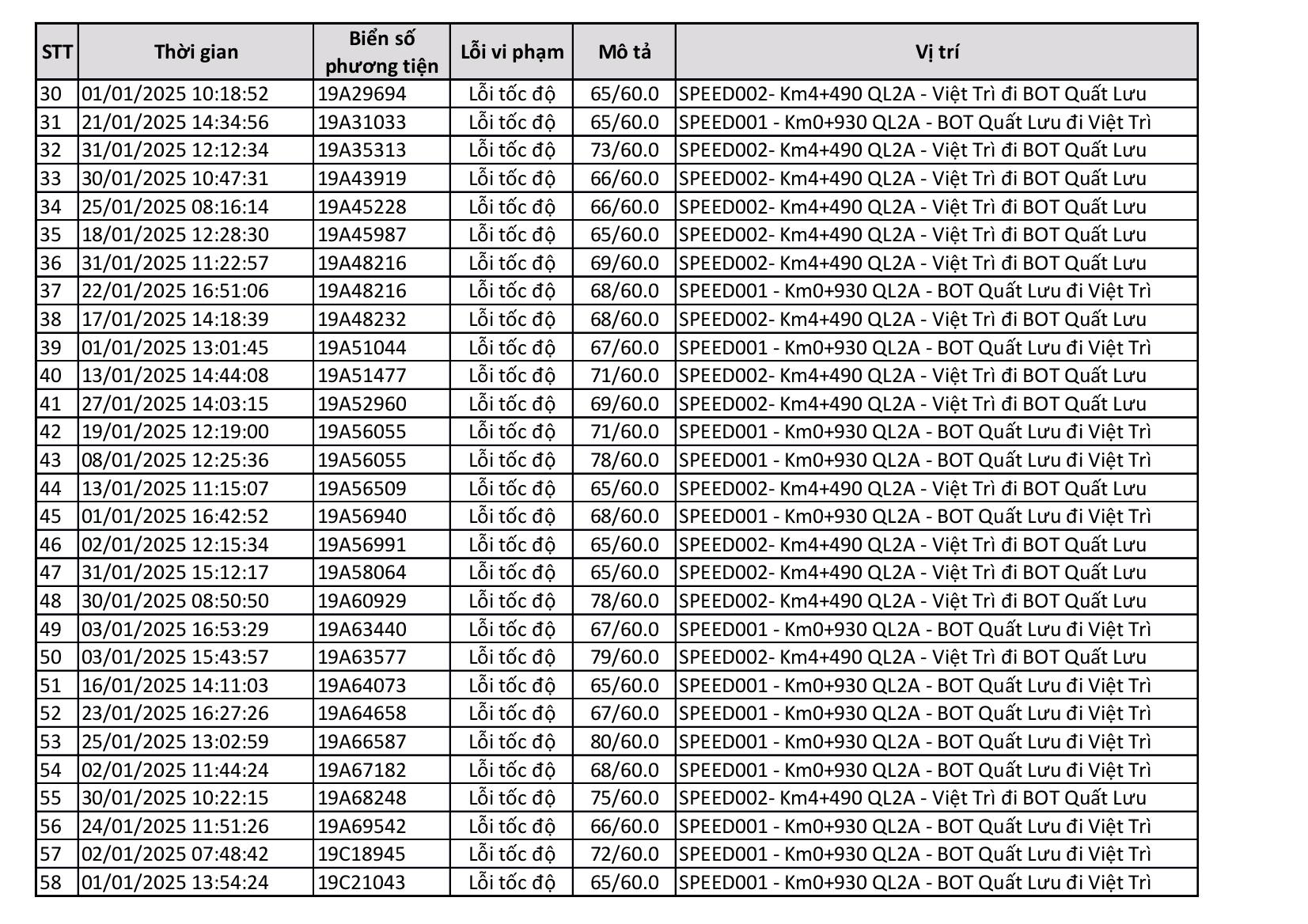
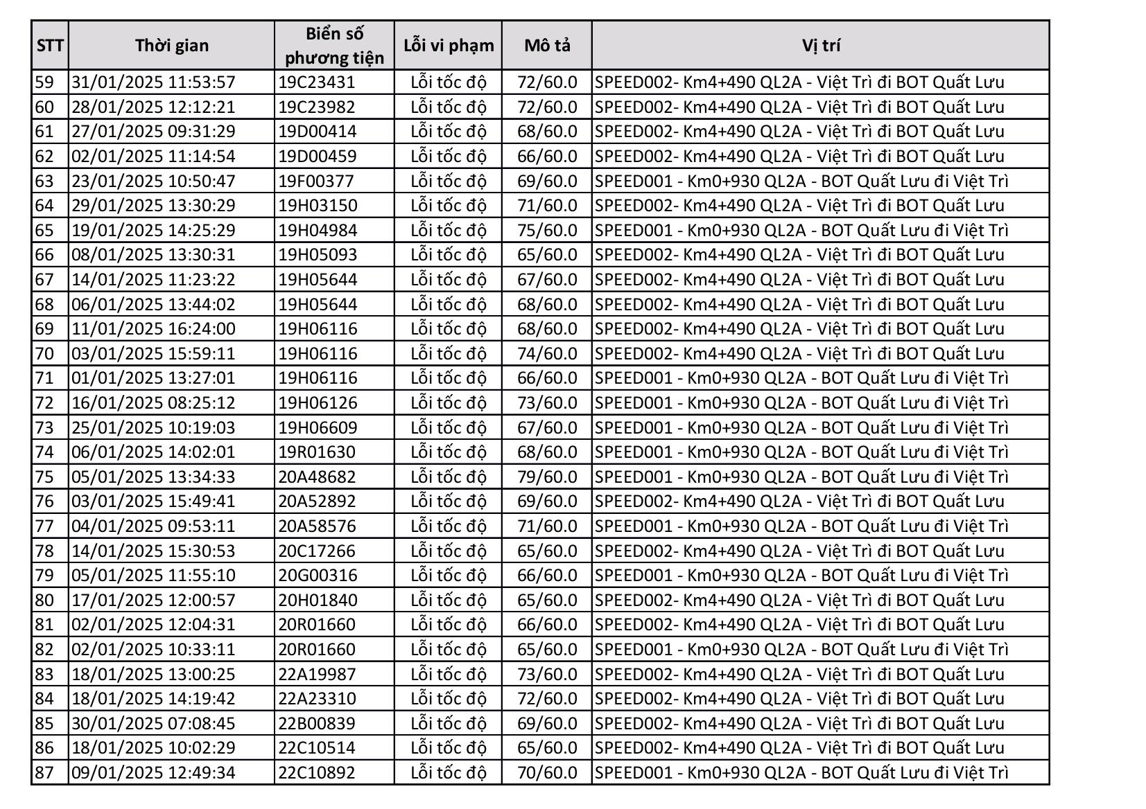
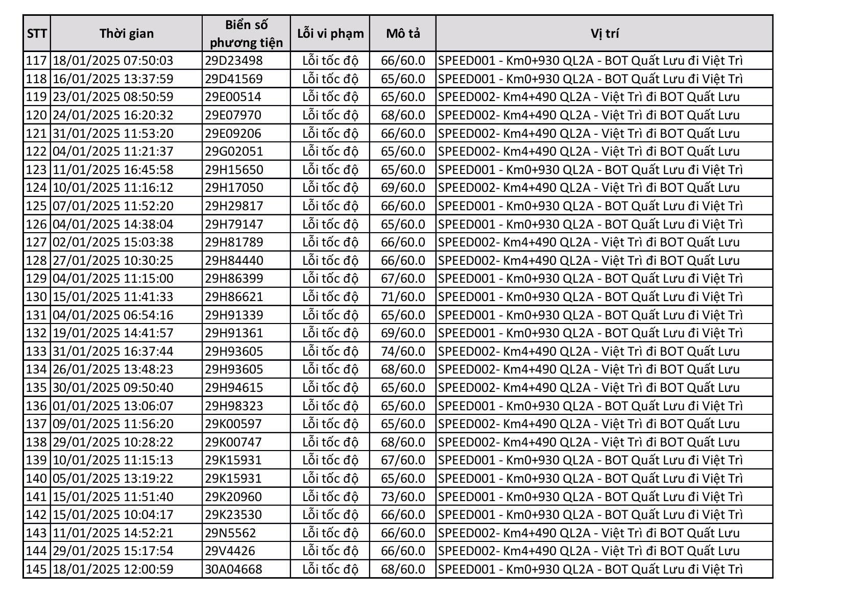
08/02/2025 16:37Công bố 440 trường hợp bị phạt 'nguội' trong tháng 1: Chủ xe có biển số sau phải nộp phạt theo Nghị định 168
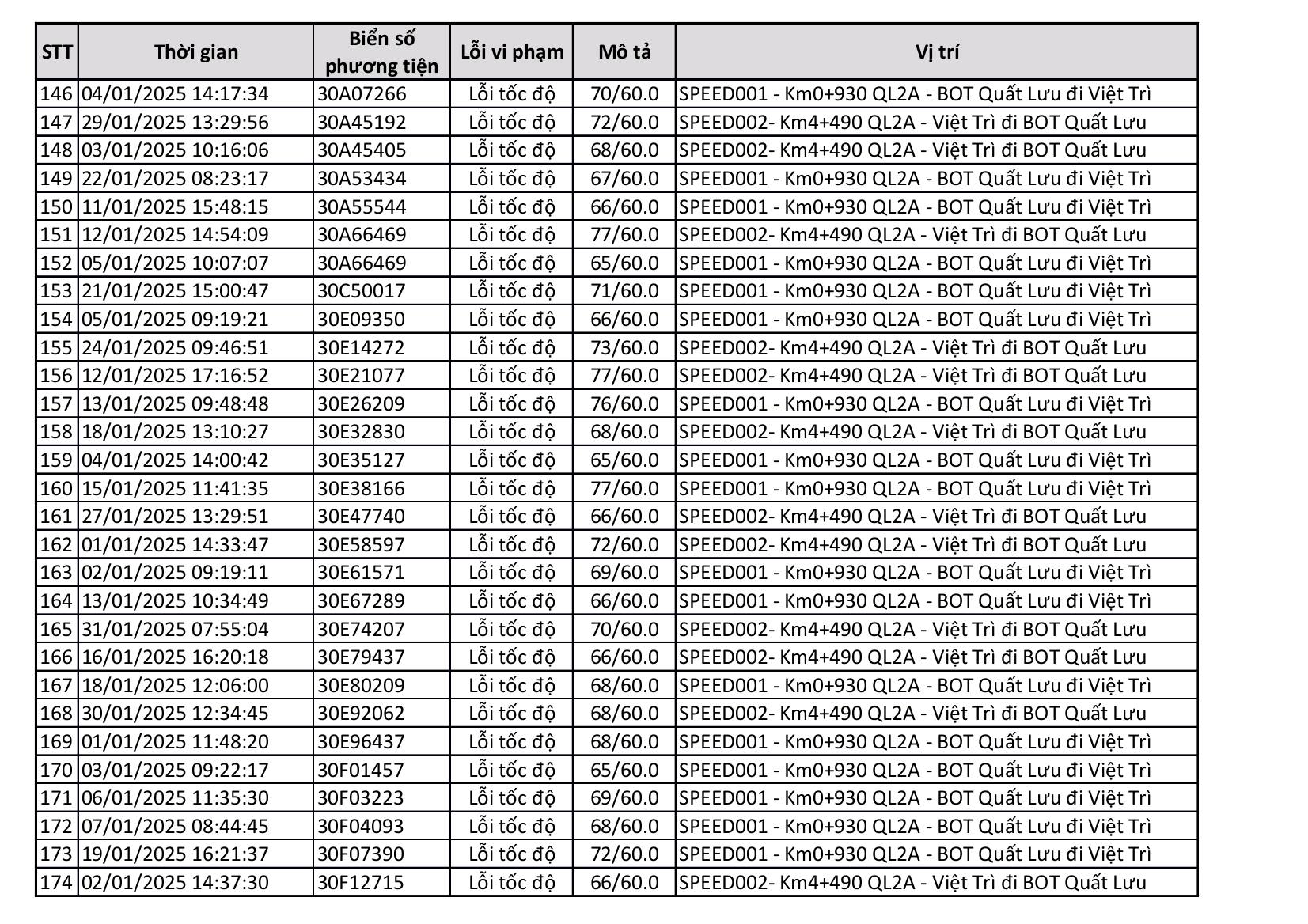
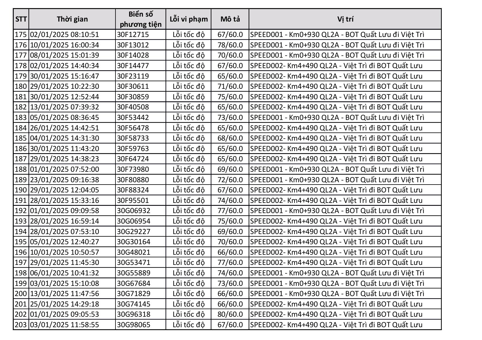
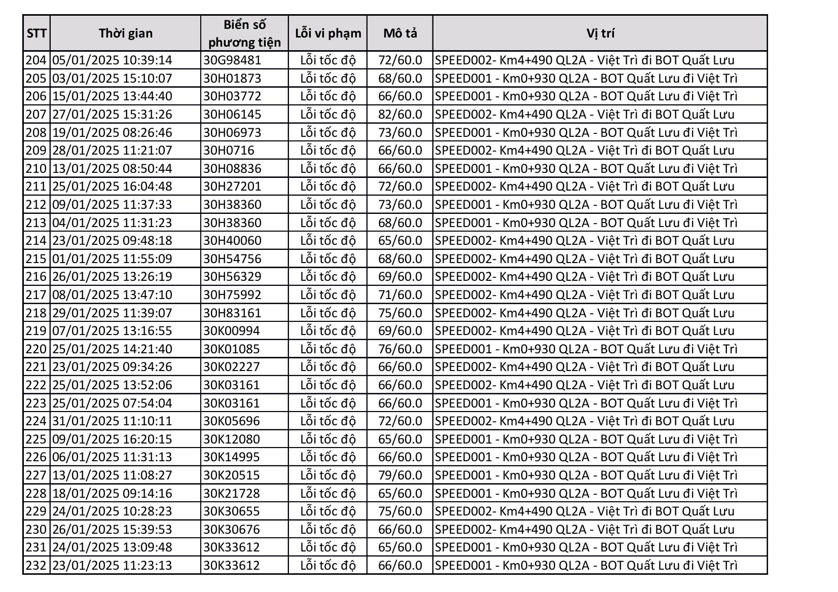
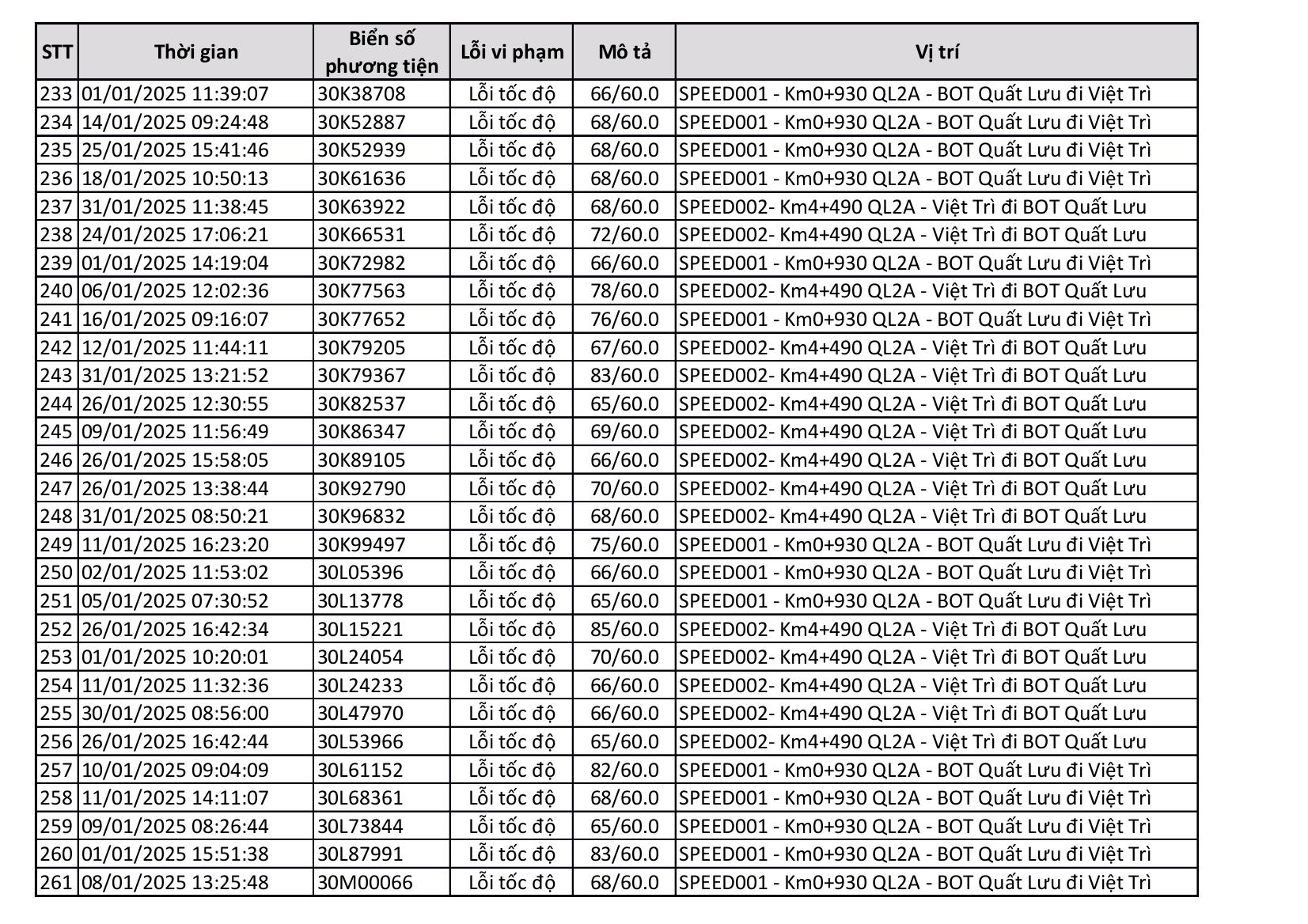
Ngày 7/2, Công an tỉnh Vĩnh Phúc đã đăng tải thông báo kết quả phát hiện, xử lý phạt nguội qua Hệ thống camera giám sát giao thông.
Cụ thể, trong tháng 1/2025, qua Hệ thống camera giám sát giao thông, Phòng Cảnh sát giao thông Công an tỉnh Vĩnh Phúc đã phát hiện và xử phạt “nguội” đối với 440 trường hợp vi phạm Luật an toàn giao thông (Lỗi tốc độ).
Cơ quan Công an yêu cầu chủ phương tiện đến Phòng Cảnh sát giao thông Công an tỉnh để làm việc và thực hiện việc nộp phạt theo đúng quy định.
440 trường hợp vi phạm cụ thể như sau:















Trước đó, ngày 4/2, Công an tỉnh Bắc Giang đã đăng tải kết quả phạt hiện xử phạt “nguội” từ ngày 20/1/2025 đến ngày 26/1/2025. Cụ thể, qua hệ thống camera giám sát giao thông, Công an thành phố Bắc Giang đã phát hiện 95 trường hợp vi phạm, bao gồm: 43 trường hợp vượt đèn đỏ, 11 trường hợp lấn làn, vi phạm vạch kẻ đường, 10 trường hợp không đội mũ bảo hiểm, 24 trường hợp rẽ trái tại nơi có biển cấm, 7 trường hợp chạy quá tốc độ quy định.
Danh sách cụ thể như sau:
Vi phạm vượt đèn
- Xe ô tô biển số: 98A-106.56; 98C-162.43; 98C-172.24; 98A-452.71; 98A-354.63; 98A-374.97; 98A-412.61; 98A-700.65; 98C-104.66; 98A-564.84; 98A-615.32; 88C-159.11; 15K-384.45;
- Xe mô tô biển số: 98B3-928.92; 98H6-9927; 98B3-266.40; 98AA-083.24; 98B3-546.77; 98H6-9927; 98B3-911.85; 98B3-830.85; 98B3-167.68; 98B3-230.29; 98B3-404.09; 98B3-900.45; 98H6-9927; 98B3-291.51; 98B3-243.47; 98B3-915.97; 98B3-202.21; 98B3-104.75; 98B3-604.20; 98B3-676.37; 98B3-947.04; 98B3-181.61; 98AA-087.51; 98B3-267.24; 98B3-904.65; 98B3-860.85; 98B3-526.91; 98B3-922.75; 98B3-291.51; 98B3-532.68;
Lấn làn, vi phạm vạch kẻ đường: 30H-294.54; 30G-679.08; 30G-468.69; 28A-074.98; 30L-858.85; 98A-004.55; 98B-001.52; 98A-234.02; 20A-679.01; 29D-063.55; 98A-072.49;
Không đội mũ bảo hiểm: 98B3-655.55; 98B3-761.38; 98B3-198.01; 98B3-591.65; 98AA-118.68; 98B3-879.49; 98AA-105.94; 98B3-441.71; 98B3-187.55; 98AA-123.45;
Rẽ trái nơi có biển cấm: 98A-573.62; 98A-746.46; 98A-407.75; 98A-640.04; 98A-746.46; 98A-722.48; 99A-328.16; 98A-185.08; 99A-570.54; 89H-039.28; 98A-837.18; 99A-187.00; 28A-194.67; 30F-323.52; 98C-302.57; 98A-690.24; 99A-385.89; 30F-688.92; 98A-851.76; 98C-103.35; 98A-149.13; 98C-103.35; 98A-762.20; 99A-335.34;
Chạy quá tốc độ quy định: 98A-573.05; 30H-531.17; 98A-700.73; 98B3-175.93; 99C1-434.17; 98B2-755.17; 98M1-225.51.
Người dân lưu ý, để tra cứu phương tiện vi phạm, người dân có thể truy cập vào đường link sau đây và thực hiện nhập thông tin biển kiểm soát, loại xe: https://www.csgt.vn/tra-cuu-phuong-tien-vi-pham.html.
Bên cạnh đó, người dân cũng có thể tra cứu phạt nguội qua ứng dụng VNeTraffic theo các bước như sau:
Bước 1: Tải và cài đặt app VNeTraffic về điện thoại trên App Store/ CH Play.
Bước 2: Đăng nhập tài khoản
Trường hợp chưa có tài khoản thì đăng ký tài khoản theo các bước sau:
Chọn đăng ký, sau đó quét mã QR bên góc trên cùng phải của thẻ CCCD. Người dân thực hiện kiểm tra thông tin, nhập số điện thoại và bấm "Xác nhận".
Sau đó hệ thống sẽ gửi mã OTP về điện thoại, người dân cần nhập mã OTP và thiết lập mật khẩu.
Bước 3: Để kiểm tra phạt nguội cá nhân chọn mục "Tra cứu vi phạm".
Bước 4: Nhập biển số xe cần tra cứu và nhấn “Kiểm tra”
Theo Hà Giang (An Ninh Tiền Tệ)
- Nam sinh năm 3 vướng vòng lao lý vì trộm 3 cây vàng của họ hàng để "ga lăng" với bạn gái (11/03/26 23:28)
- IEA tung "át chủ bài" 400 triệu thùng dầu: Cuộc can thiệp lớn nhất lịch sử nhằm bình ổn giá năng lượng (11/03/26 23:11)
- Cựu thí sinh vạch trần đường dây "ngã giá" vương miện Hoa hậu Hoàn vũ Paraguay (11/03/26 22:48)
- Iran cảnh báo giá dầu có thể tăng gấp đôi lên 200 USD/thùng, hé lộ loạt mục tiêu tấn công Mỹ (11/03/26 22:33)
- Thừa Thiên Huế: Kịp thời cứu sống người phụ nữ gieo mình xuống sông Hương trong rạng sáng mưa lạnh (11/03/26 22:22)
- Giá xăng dầu đảo chiều giảm sâu, thị trường giải tỏa áp lực sau chuỗi ngày tăng nóng (11/03/26 22:12)
- Bê bối bóng đá Malaysia: Phán quyết của CAS chỉ là "khúc dạo đầu", AFC cảnh báo sẽ truy quét tận gốc (11/03/26 21:56)
- Tây Ban Nha triệu hồi đại sứ tại Israel, đối mặt với áp lực từ Washington (11/03/26 21:30)
- Biển lửa tại "nút thắt cổ chai" Hormuz: Thái Lan công bố ảnh tàu hàng bốc cháy (11/03/26 21:21)
- Nghệ An: Danh tính kẻ chém người ở quán cà phê rồi cầm dao "đi dạo", lời khai hé lộ lý do ra tay (11/03/26 21:14)