-
Yamaha chính thức ra mắt "vua xe ga" 155cc mới giá 54 triệu đồng: "Chơi tất tay" với Honda Air Blade -
Mua ô tô nào trong khoảng 500 triệu đồng chơi Tết? -
Hiền Hồ gây bão khi công khai "tỏ tình" với thủ môn cao 1m91 của U23 Việt Nam -
Rosé lên tiếng về nghi vấn BLACKPINK tan rã, fan "đứng ngồi không yên" -
Ưng Hoàng Phúc, Thanh Thảo bị chê "lỗi thời" khi trở lại đường đua nhạc Tết -
iPhone 17 Pro Max đang đắt thì chiếc iPhone Pro Max này rẻ bằng 1/3, có đủ màn 120Hz camera zoom 3x -
Quên Honda Vision đi, "xe ga quốc dân" 125cc mới 'nét' hơn SH Mode và LEAD ra mắt, giá 32 triệu đồng -
NSƯT Cát Tường: "Tôi hào hoa hơn cả đàn ông, thích ai là 'rải tiền' mua quà" -
Touliver xuất hiện với nụ cười sau thông báo ly hôn Tóc Tiên, tiết lộ tín hiệu cân bằng trở lại -
Buộc thôi việc giảng viên Đại học Sư phạm Hà Nội 2 dùng bằng tiến sĩ giả, xóa tên khỏi bia đá tiến sĩ
Xã hội
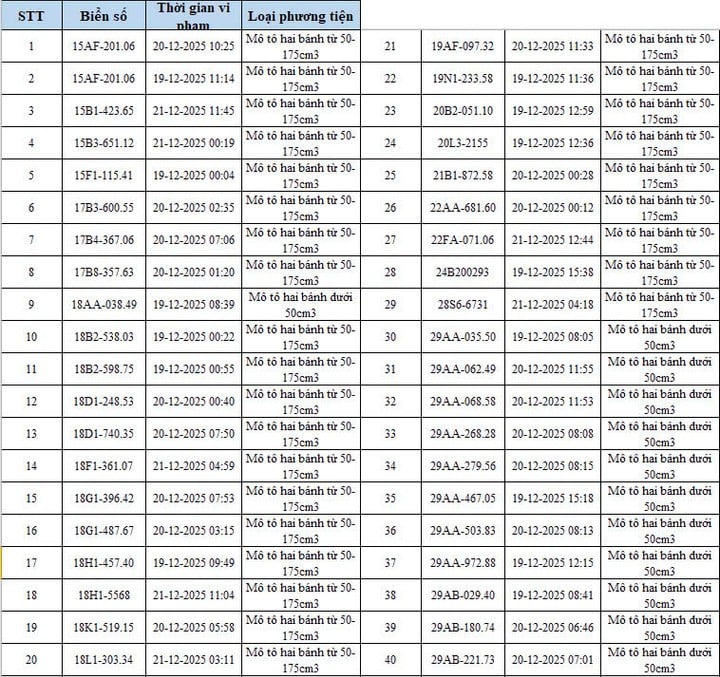
06/01/2026 21:43CSGT Hà Nội công bố danh sách 342 ô tô, xe máy bị camera AI phát hiện vi phạm: Biển 15, 16, 17, 18... đủ cả
Theo đó, trong thời gian qua, hệ thống camera AI đã ghi nhận 82 xe ô tô và 260 xe máy có hành vi vi phạm. Phòng Cảnh sát giao thông Công an TP Hà Nội đã tiến hành xác minh và gửi thông báo tới các chủ phương tiện liên quan.
Danh sách 82 ô tô vi phạm giao thông:


Danh sách 260 xe máy vi phạm giao thông:






Để tra cứu phương tiện vi phạm, người dân có thể thực hiện theo các cách dưới đây:
- Tra cứu trên website chính thức của Cục Cảnh sát Giao thông:
Bước 1: Truy cập website chính thức của Cục Cảnh sát Giao thông
Bước 2: Nhập biển số xe, chọn loại phương tiện, nhập mã captcha → bấm Tra cứu.
Bước 3: Nếu có vi phạm sẽ hiện thời gian, địa điểm, lỗi, đơn vị xử lý.
- Tải ứng dụng VNeTraffic - ứng dụng giao thông do Bộ Công an quản lý để kiểm tra thông tin vi phạm hoặc gửi phản ánh trực tiếp đến cơ quan chức năng.
Bước 1: Tải ứng dụng trên Google Play/App Store.
Bước 2: Đăng nhập bằng CCCD gắn chip hoặc số điện thoại.
Bước 3: Vào mục “Tra cứu vi phạm”, nhập biển số xe để xem vi phạm.
Ngoài ra, người vi phạm cũng có thể liên hệ trực tiếp Đội Chỉ huy giao thông và điều khiển đèn tín hiệu giao thông, Phòng Cảnh sát giao thông Công an TP Hà Nội tại số 54 Trần Hưng Đạo, phường Cửa Nam, TP Hà Nội, điện thoại 0692.196.440 để được hướng dẫn và giải quyết.
Đối với người dân cư trú trên địa bàn Hà Nội, có thể đến 14 địa điểm tiếp nhận và giải quyết kết quả thu thập bằng phương tiện, thiết bị nghiệp vụ của Phòng Cảnh sát giao thông để xử lý các trường hợp vi phạm hành chính theo quy định.
- TP.HCM: Kết quả bất ngờ sau 3 lần kiểm tra công ty cung cấp suất ăn cho học sinh nghi dùng "thịt bẩn" (29/01/26 23:22)
- VinFast VF5 lộ diện diện mạo mới: Bản nâng cấp "lột xác" kỳ vọng gây bão năm 2026 (29/01/26 23:14)
- Mỹ gặp khó tại Trung Đông khi các đồng minh vùng Vịnh từ chối hỗ trợ tấn công Iran (29/01/26 22:52)
- Vụ cô giáo ném thước kẻ vào mặt học sinh, dặn nói dối bố mẹ: Phát ngôn mới nhất phía nhà trường (29/01/26 22:32)
- Triệt phá đường dây lừa đảo xuyên quốc gia: Thủ đoạn chiếm đoạt 300 tỷ đồng của "ông trùm" Lê Đình Hùng (29/01/26 21:53)
- Hiện trường tang thương vụ xe tải "tự trôi" trên đường liên xã khiến một cháu bé tử vong thương tâm (29/01/26 21:15)
- Tuyển Futsal Việt Nam sớm giành vé vào Tứ kết giải châu Á 2026 (29/01/26 20:50)
- Bộ Quốc phòng Trung Quốc lên tiếng về vụ "ngã ngựa" của hai tướng Trương Hựu Hiệp và Lưu Chấn Lập (29/01/26 20:41)
- Á hậu Vũ Thúy Quỳnh lên tiếng trước tin đồn chuẩn bị lên xe hoa cùng Đức Phạm (29/01/26 20:34)
- TP.HCM: Đình chỉ khẩn cấp bữa ăn bán trú tại các trường sử dụng thực phẩm Sago Food (29/01/26 20:10)